18352번: 특정 거리의 도시 찾기
첫째 줄에 도시의 개수 N, 도로의 개수 M, 거리 정보 K, 출발 도시의 번호 X가 주어진다. (2 ≤ N ≤ 300,000, 1 ≤ M ≤ 1,000,000, 1 ≤ K ≤ 300,000, 1 ≤ X ≤ N) 둘째 줄부터 M개의 줄에 걸쳐서 두 개
www.acmicpc.net
👨💻 문제
어떤 나라에는 1번부터 N번까지의 도시와 M개의 단방향 도로가 존재한다. 모든 도로의 거리는 1이다.
이 때 특정한 도시 X로부터 출발하여 도달할 수 있는 모든 도시 중에서, 최단 거리가 정확히 K인 모든 도시들의 번호를 출력하는 프로그램을 작성하시오. 또한 출발 도시 X에서 출발 도시 X로 가는 최단 거리는 항상 0이라고 가정한다.
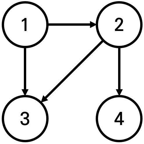
예를 들어 N=4, K=2, X=1일 때 다음과 같이 그래프가 구성되어 있다고 가정하자.

이 때 1번 도시에서 출발하여 도달할 수 있는 도시 중에서, 최단 거리가 2인 도시는 4번 도시 뿐이다. 2번과 3번 도시의 경우, 최단 거리가 1이기 때문에 출력하지 않는다.
입력
첫째 줄에 도시의 개수 N, 도로의 개수 M, 거리 정보 K, 출발 도시의 번호 X가 주어진다. (2 ≤ N ≤ 300,000, 1 ≤ M ≤ 1,000,000, 1 ≤ K ≤ 300,000, 1 ≤ X ≤ N) 둘째 줄부터 M개의 줄에 걸쳐서 두 개의 자연수 A, B가 공백을 기준으로 구분되어 주어진다. 이는 A번 도시에서 B번 도시로 이동하는 단방향 도로가 존재한다는 의미다. (1 ≤ A, B ≤ N) 단, A와 B는 서로 다른 자연수이다.
출력
X로부터 출발하여 도달할 수 있는 도시 중에서, 최단 거리가 K인 모든 도시의 번호를 한 줄에 하나씩 오름차순으로 출력한다.
이 때 도달할 수 있는 도시 중에서, 최단 거리가 K인 도시가 하나도 존재하지 않으면 -1을 출력한다.
예제 입력 1
4 4 2 1
1 2
1 3
2 3
2 4
예제 출력 1
4
예제 입력 2
4 3 2 1
1 2
1 3
1 4
예제 출력 2
-1
예제 입력 3
4 4 1 1
1 2
1 3
2 3
2 4
예제 출력 3
2
3
정답 코드
파이썬 Ver.
자바스크립트 Ver. (⌛ 시간 초과 뜸)
문제 풀이
모든 간선의 길이가 동일할 때는 bfs로 풀면 된다. 먼저 for 문으로 각 노드의 연결관계를 담은 리스트를 만든다. 그런 다음 bfs를 수행하기 위해 큐를 선언하고 한 연결된 노드에 방문한 적이 없다면 이전 노드의 길이에 1을 더한 값을 연결 노드의 거리값에 누적한다. 이를 반복한 뒤 각 노드의 거리를 담은 배열에서 목표 거리 k와 같은 값이 있다면 정답으로 출력하고, 일치하는 요소가 없다면 -1을 출력하면 된다.
'👩💻 Programming > Coding Test 문제 풀이' 카테고리의 다른 글
| [Baekjoon] 18405 경쟁적 전염(자바스크립트/NodeJs) (0) | 2023.01.17 |
|---|---|
| [Baekjoon] 14052 연구소(자바스크립트/NodeJs) (0) | 2023.01.17 |
| [Baekjoon] 1476 날짜 계산(파이썬/자바스크립트/NodeJs) (0) | 2023.01.17 |
| [이코테] DFS/BFS_미로 탈출(자바스크립트) (0) | 2023.01.16 |
| [이코테] DFS/BFS_음료수 얼려 먹기(자바스크립트) (0) | 2023.01.16 |
댓글